simplify exponential expressions worksheet

How to Simplify an Exponential Expression With Algebraic Expressions | eHow. 17 Images about How to Simplify an Exponential Expression With Algebraic Expressions | eHow : Simplify Exponential Expressions Worksheet 100 [ Rational Exponent, Simplifying Exponential Expressions - YouTube and also Quiz & Worksheet - Multiplying Exponential Expressions | Study.com.

How To Simplify An Exponential Expression With Algebraic Expressions | EHow

How to Simplify an Exponential Expression With Algebraic Expressions | eHow www.ehow.com

ehow exponential expressions algebraic simplify expression

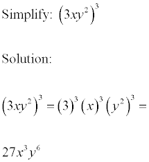
How To Simplify An Exponential Expression In Algebra « Math :: WonderHowTo

How to Simplify an exponential expression in algebra « Math :: WonderHowTo math.wonderhowto.com

exponential wonderhowto

Exponents Worksheets

Exponents Worksheets www.mathworksheets4kids.com

exponents worksheets evaluating mathworksheets4kids expressions grade exponent 6th expression multiplication properties algebra worksheet sheet easy math division exponential addition problems

How To Solve Equations With Negative Fraction Exponents - Tessshebaylo

How To Solve Equations With Negative Fraction Exponents - Tessshebaylo www.tessshebaylo.com

exponents algebra fraction exponent fractional simplify variable polynomials rational elementary math flatworldknowledge

Operations With Radical Expressions Maze - Adding & Subtracting

Operations with Radical Expressions Maze - Adding & Subtracting www.pinterest.com

expressions maze radical worksheets adding subtracting worksheet operations algebra multiplication subtraction radicals math addition simplifying activity activities using skills simplify

50 Simplifying Exponential Expressions Worksheet | Chessmuseum Template

50 Simplifying Exponential Expressions Worksheet | Chessmuseum Template chessmuseum.org

exponential simplifying

13 Best Images Of Functions Worksheets PDF - Function Tables Worksheets

13 Best Images of Functions Worksheets PDF - Function Tables Worksheets www.worksheeto.com

worksheet trig identities worksheets basic functions pdf trigonometry worksheeto equations via tables

Algebra 1 Unit 7 Exponent Rules Worksheet 2 Simplify Each | Exponent

Algebra 1 Unit 7 Exponent Rules Worksheet 2 Simplify Each | Exponent www.pinterest.com

exponent algebra rules worksheet unit grade 8th exponents worksheets each simplify math negative answers maths printable homework simplifying equation zero

Examples Of Math Problems: Simplify Exponential Expression

Examples of Math Problems: Simplify exponential expression examplesofmathproblems.blogspot.com

expression simplify exponential problems math examples

Simplify Expressions With Fraction Exponents Calculator - Exponents And

Simplify Expressions With Fraction Exponents Calculator - exponents and lbartman.com

exponents expressions radical rational simplifying using math simplify fraction calculator radicals expression fractions examples solve fractional algebraic algebra worksheet numbers

Simplify The Given Expressions And Then Check You…

Simplify the given expressions and then check you… www.numerade.com

30 Simplifying Exponential Expressions Worksheet | Education Template

30 Simplifying Exponential Expressions Worksheet | Education Template smithfieldjustice.com

simplifying exponential algebraic interpreting extremos entretenimiento

Simplify Exponential Expressions Worksheet 100 [ Rational Exponent

Simplify Exponential Expressions Worksheet 100 [ Rational Exponent www.pinterest.com.au

expressions exponents simplify exponential

Simplifying Exponential Expressions Worksheet | Mychaume.com

Simplifying Exponential Expressions Worksheet | Mychaume.com mychaume.com

simplifying expressions worksheet exponential worksheets rational checks mychaume

Simplifying Monomials

Simplifying Monomials www.algebra-class.com

monomials worksheet simplifying dividing algebra polynomials calculator multiplying examples example expressions polynomial monomial simplify answers fractions class divide use practice

Simplifying Exponential Expressions - YouTube

Simplifying Exponential Expressions - YouTube www.youtube.com

exponential expressions simplifying

Quiz & Worksheet - Multiplying Exponential Expressions | Study.com

Quiz & Worksheet - Multiplying Exponential Expressions | Study.com study.com

exponential expressions multiplying quiz worksheet study

How to simplify an exponential expression in algebra « math :: wonderhowto. Simplifying monomials. Expressions maze radical worksheets adding subtracting worksheet operations algebra multiplication subtraction radicals math addition simplifying activity activities using skills simplify